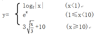
编程题:分段函数之二-三分支
输入x值,根据分段函数计算y的值,并输出。

### 输入格式:
直接输入一个整数x
### 输出格式:
输出格式为"y=……",小数点后保留2位小数
### 输入样例1:
in
6
### 输出样例1:
out
y=403.43
### 输入样例2:
in
20
### 输出样例2:
out
y=17.75
### 输入样例3:
in
-5
### 输出样例3:
out
y=2.32
answer:若无答案欢迎评论

### 输入格式:
直接输入一个整数x
### 输出格式:
输出格式为"y=……",小数点后保留2位小数
### 输入样例1:
in
6
### 输出样例1:
out
y=403.43
### 输入样例2:
in
20
### 输出样例2:
out
y=17.75
### 输入样例3:
in
-5
### 输出样例3:
out
y=2.32
answer:若无答案欢迎评论