编程题:分段函数之五-三分支
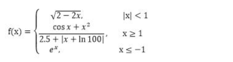
输入x的值,根据以下分段函数计算y的值,并输出。

### 输入格式:
直接输入
注意:
1. 输入使用input(),不要增加额外的提示信息
2. python3 中 input 函数返回值是字符串,数值型数据需要使用 int(input()) 或 eval(input()) 来进行转换。
### 输出格式:
以格式“y=……"输出,结果保留2位小数
### 输入样例1:
in
-0.9
### 输出样例1:
out
y=1.95
### 输入样例2:
in
3
### 输出样例2:
out
y=0.79
### 输入样例3:
in
-4
### 输出样例3:
out
y=0.02
answer:若无答案欢迎评论

### 输入格式:
直接输入
注意:
1. 输入使用input(),不要增加额外的提示信息
2. python3 中 input 函数返回值是字符串,数值型数据需要使用 int(input()) 或 eval(input()) 来进行转换。
### 输出格式:
以格式“y=……"输出,结果保留2位小数
### 输入样例1:
in
-0.9
### 输出样例1:
out
y=1.95
### 输入样例2:
in
3
### 输出样例2:
out
y=0.79
### 输入样例3:
in
-4
### 输出样例3:
out
y=0.02
answer:若无答案欢迎评论