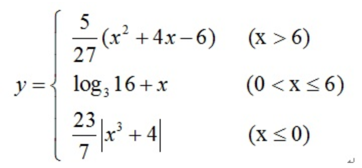
编程题:分段函数之六-三分支
输入x值,根据分段函数计算y的值,并输出。

### 输入格式:
直接输入一个整数x,注意:
1. 输入使用input(),不要增加额外的提示信息
2. python3 中 input 函数返回值是字符串,数值型数据需要使用 int(input()) 或 eval(input()) 来进行转换。
### 输出格式:
输出格式为:"y=……",小数点后保留2位小数。
### 输入样例1:
in
8
### 输出样例1:
out
y=16.67
### 输入样例2:
in
4
### 输出样例2:
out
y=6.52
### 输入样例3:
in
-8
### 输出样例3:
out
y=1669.14
answer:若无答案欢迎评论

### 输入格式:
直接输入一个整数x,注意:
1. 输入使用input(),不要增加额外的提示信息
2. python3 中 input 函数返回值是字符串,数值型数据需要使用 int(input()) 或 eval(input()) 来进行转换。
### 输出格式:
输出格式为:"y=……",小数点后保留2位小数。
### 输入样例1:
in
8
### 输出样例1:
out
y=16.67
### 输入样例2:
in
4
### 输出样例2:
out
y=6.52
### 输入样例3:
in
-8
### 输出样例3:
out
y=1669.14
answer:若无答案欢迎评论