编程题:计算标准差
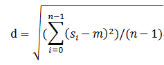
输入若干个数,计算其标准差并输出。标准差是指对某组数据s=s0,s1,s2,...,sn-1,其标准差表示为:
,其中

### 输入格式:
在同一行输入若干个数,用英文逗号,分隔。注意:
1.输入使用input(),不要增加额外的提示信息
2.Python3 中 input 函数返回值是字符串, 本题需要使用 eval(input()) 来进行转换
### 输出格式:
保留一位小数,输出样式为“标准差为……”
### 输入样例:
in
99,98,97,96,95
### 输出样例:
out
标准差为1.6
answer:若无答案欢迎评论


### 输入格式:
在同一行输入若干个数,用英文逗号,分隔。注意:
1.输入使用input(),不要增加额外的提示信息
2.Python3 中 input 函数返回值是字符串, 本题需要使用 eval(input()) 来进行转换
### 输出格式:
保留一位小数,输出样式为“标准差为……”
### 输入样例:
in
99,98,97,96,95
### 输出样例:
out
标准差为1.6
answer:若无答案欢迎评论