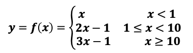
编程题:分段函数之四--三分支
根据x的范围计算函数值,输出结果保留1位小数。

### 输入格式:
直接输入
注意:
1. 输入使用input(),不要增加额外的提示信息
2. python3 中 input 函数返回值是字符串, 需要使用 int(input()) 或 eval(input()) 来进行转换。
### 输出格式:
直接输出,保留1位小数。
### 输入样例:
in
3.5
### 输出样例:
在这里给出相应的输出。例如:
out
6.0
answer:若无答案欢迎评论

### 输入格式:
直接输入
注意:
1. 输入使用input(),不要增加额外的提示信息
2. python3 中 input 函数返回值是字符串, 需要使用 int(input()) 或 eval(input()) 来进行转换。
### 输出格式:
直接输出,保留1位小数。
### 输入样例:
in
3.5
### 输出样例:
在这里给出相应的输出。例如:
out
6.0
answer:若无答案欢迎评论